Contoh soal fungsi komposisi dan jawaban pembahasan fungsi komposisi adalah penggabungan sebuah operasi dua jenis fungsi f x dan g x sehingga mampu menghasilkan sebuah fungsi baru. Diketahui fx 2x 5 dan gx x 1 x 4 maka f gx x 4 7x 2 7 x 18 x 4 x 4 x 4 x 4 a.
Intip Solusi Super Menyelesaikan Soal Fungsi Komposisi Buat Kelas 10
Menentukan fungsi komposisi.

Kumpulan contoh soal fungsi komposisi. Operasi fungsi komposisi tersebut biasa dilambangkan dengan o kemudian dapat dibaca komposisi ataupun bundaran. Tentukan f gx. 06112020 Contoh soal fungsi komposisi dan jawaban pembahasan fungsi komposisi adalah penggabungan sebuah operasi dua jenis fungsi f x dan g x sehingga mampu menghasilkan sebuah fungsi baru.
Tahap pertama menggunakan mesin I menghasilkan bahan kertas setengah jadi m dengan mengikuti fungsi. Soal SBMPTN MatDas 2014 Kode 654. Fungsi baru inilah yang dapat terbentuk dari fx dan.
Menentukan Invers suatu fungsi atau invers fungsi komposisi. Kumpulan soal fungsi komposisi. Contoh soal komposisi fungsi.
Diketahui fungsi g x 2x 1 dan persamaan dinyatakan pada persamaan di bawah. Soal nomor 11 diketahui fungsi f x x 4 dan g x x 2 3x 10. 25062020 Contoh Soal Fungsi Komposisi dan Jawaban Pembahasan Fungsi komposisi adalah penggabungan sebuah operasi dua jenis fungsi fx dan gx sehingga mampu menghasilkan sebuah fungsi baru.
Menentukan nilai suatu fungsi atau nilai fungsi komposisi. 10042021 Untuk menjawab soal di atas kembali kita ingat konsep fungsi komposisi. 17032021 Contoh Soal Fungsi Komposisi.
Fungsi komposisi merupakan penggabungan operasi dua jenis fungsi f x dan g x sehingga menghasilkan sebuah fungsi baru. Tentukan f gx. Download rangkuman contoh soal fungsi komposisi dalam bentuk pdf klik disini.
Penyelesaian f gx fx gx. 19052021 Contoh Soal Fungsi Komposisi Sma F x 3x 2 g x 2 x. Contoh soal Diketahui fx x 2 3x dan gx 2x 1.
Perhatikan contoh contoh berikut ini. Oleh fungsi Diposting pada 10 Mei 2021. F o g x artinya g dimasukkan ke f.
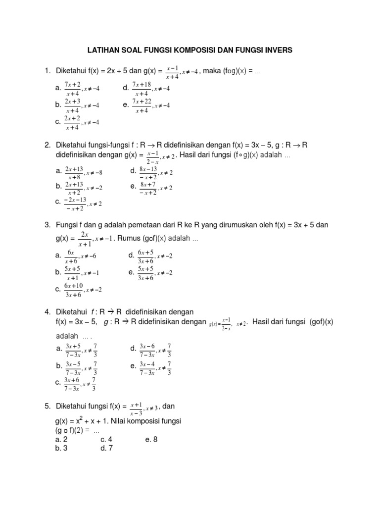
Soal Jawab Fungsi Komposisi Soal no 1. Latihan soal fungsi komposisi dan fungsi invers 1. 03122014 Kumpulan Soal Fungsi Komposisi dan Invers Beberapa model soal yang umum tentang fungsi komposisi dan invers anatara lain.
Soal no 1 utbk 2019 diketahui grafik fungsi f dan g dengan beberapa nilai fungsi f dan g sebagai. Fungsi merupakan relasi dua himpunan a dan b yang memasangkan setiap anggota pada himpunan a dengan tepat satu anggota himpunan b. Jika f 1x 1 4 3x x 2 maka nilai f 5 adalah.
Dietahui fungsi f dan g yang dirumuskan oleh f x 3x 2 - 4x 6 dan g x 2x - 1. Contoh Soal Komposisi Fungsi Contoh 1. Diketahui fx x 2 dan gx x 2 4.
Jika nilai fog x 101 maka nilai x yang memenuhi adalah. Pada kesempatan kali ini kita akan menyampaikan kumpulan contoh soal tentang materi Fungsi Komposisi. Setiap fungsi dalam hal ini.
Maka nilai f x adalah. 15122017 Berikut ini adalah kumpulan beberapa soal mengenai komposisi dan invers fungsi tingkat SMASederajat disertai pembahasannya. Tipe soal yang keluar yaitu bentuk fungsi fungsi invers fungsi komposisi bisa juga gabungannya.
Soal UN SMA Matematika IPA 2018 Suatu pabrik kertas dengan bahan dasar kayu x memproduksi kertas melalui dua tahap. Download PDF 222 KB. March 17 2021 by Kevin.
Tiyas 8 april 2020. 20012021 Contoh Soal Fungsi Komposisi dan Invers dan Jawaban Pembahasan Oleh Anas Ilham Diposting pada Mei 19 2020 Agustus 26 2020 Contoh Soal Fungsi Komposisi dan Invers Pilihan Ganda Pembahasan Berikut ini Bank contoh soal Fungsi Komposisi dan Invers lengkap dengan Jawaban beserta Penyelesaiannya untuk Siswa dari berbagai penerbit buku yang. Kumpulan contoh soal fungsi yang diberikan di sini sesuai untuk level kognitif penalaran.
25122019 Contoh soal dan pembahasan tentang fungsi komposisi. Materi dan contoh soal komposisi. Kali ini kita akan bahas bersama sama soal materi komposisi lengkap dengan cara penyelesaiannya dan contoh latihan soal.
Soal tentang komposisi dan invers fungsi un 2012 diketahui fungsi f x 2 x 3 dan g x x 2 2 x 3. Di bawah ini sudah kami kumpulkan beberapa latihan soal Fungsi Komposisi beserta jawaban dan pembahasannya. Penyelesaian f gx fx gx f gx x 2 x 2 4 f gx x 2 x 2.
29032016 Kumpulan Soal Ujian Nasional Fungsi Komposisi. Menentukan suatu fungsi jika fungsi komposisi dan fungsi lain diketahui. Fungsi dan Manfaat ErgonomiPrinsip Contoh dan Tujuannya.
Pengurangan f dan g f gx fx gx. Soal juga dapat diunduh dengan mengklik tautan berikut. Fungsi Komposisi Fungsi Komposisi Fungsi Komposisi adalah penggabungan sebuah operasi dua jenis fungsi fx dan gx sehingga dapat menghasilkan sebuah fungsi baru.
24102020 Oktober 24 2020 Februari 27 2021 admin Contoh soal fungsi komposisi fungsi komposisi pembahasan soal fungsi komposisi Postingan ini membahas contoh soal fungsi komposisi yang disertai pembahasannya atau penyelesaiannya jawaban. Berikut Kumpulan Soal Fungsi Invers dan Komposisi Seleksi Masuk PTN dan lengkap dengan pembahasannya.
Contoh Soal Dan Pembahasan Tentang Fungsi Komposisi Dan Invers Ajar Hitung
Contoh Soal Gabungan Fungsi Komposisi Dan Fungsi Invers
Contoh Latihan Soal Contoh Soal Matematika Kelas 11 Tentang Fungsi Invers
Intip Solusi Super Menyelesaikan Soal Fungsi Komposisi Buat Kelas 10
Contoh Soal Fungsi Sma Matematika Ipa Idschool
Contoh Soal Fungsi Komposisi Dan Jawaban Pembahasan
Intip Solusi Super Menyelesaikan Soal Fungsi Komposisi Buat Kelas 10
Contoh Soal Fungsi Invers Kumpulan Soal Pelajaran 2
Contoh Soal Uan Fungsi Komposisi Invers
Contoh Soal Dan Pembahasan Tentang Fungsi Komposisi Dan Invers
Intip Solusi Super Menyelesaikan Soal Fungsi Komposisi Buat Kelas 10
Contoh Soal Fungsi Komposisi Youtube
Contoh Soal Dan Pembahasan Tentang Fungsi Komposisi Dan Invers Ajar Hitung
Contoh Soal Fungsi Operasi Aljabar Dan Komposisi Fungsi
13 Soal Soal Fungsi Komposisi Dan Fungsi Invers
Contoh Soal Uan Fungsi Komposisi Invers
Pdf Latihan Soal Fungsi Komposisi Dan Fungsi Invers Lelly Mawarni Academia Edu
Fungsi Komposisi Dan Fungsi Invers Lengkap Dengan Contoh Soal Dan Pembahasan
Soal Matematika Fungsi Komposisi