Adapula contoh soal materi fungsi invers yang akan saya bagikan. Berikut ini adalah kumpulan beberapa soal mengenai komposisi dan invers fungsi tingkat SMASederajat disertai pembahasannya.
Fungsi Invers Sifat Komposisi Contoh Soal Pembahasan
09022017 Komposisi fungsi g o f x adalah.

Kumpulan contoh soal fungsi invers. 12 x 3 B. Soal Integral Invers Trigonometri Dari Apriyannto. Cara menentukan fungsi invers yang pertama ialah mencari persamaan x nya dulu.
Fungsi f ditentukan x 3 jika invers dari f maka x 1. Fungsi Invers Eksponensial Logaritma Dan Trigonometri. R r ditentukan oleh f x 2x 5 dan g x x 2 maka memetakan x ke.
11042020 Selanjutnya saya akan membagikan beberapa contoh soal dalam fungsi invers. Untuk lebih memahami hal-hal berikut perhatikan contoh masalah. Diketahui dan adalah invers dari f maka x.
20082020 Postingan ini membahas contoh soal fungsi invers yang disertai pembahasannya atau penyelesaiannya jawaban. -1 2x 3 D. Aturan Rantai Turunan Dan Turunan Fungsi Komposisi.
Jika f 1x 1 4 3x x 2 maka nilai f 5 adalah. Apabila fx 3x 9. 26012021 Perhitungan dengan fungsi invers memang terlihat sulit.
Jika fx 4x 16. -1 2x 3 E. Adapun contoh soal dan pembahasannya yaitu sebagai berikut.
12 x 3 C. 29042020 Ulasan materi matematika kali ini akan membahas rumus fungsi invers dan fungsi komposisi yang akan disertai kumpulan contoh soal fungsi dan invers dan jawaban pembahasannya secara detail. Diketahui f x 2x 5 dan x -5 maka f o g x.
Menentukan suatu fungsi jika fungsi komposisi dan fungsi lain diketahui. Dengan kata lain daerah asal dari f x merupakan daerah asal bagi f 1 x dan daerah asal dari f x merupakan daerah hasil bagi f 1 x. 05022021 Contoh Soal Fungsi Invers.
Menentukan nilai suatu fungsi atau nilai fungsi komposisi. A b mempunyai fungsi invers f 1. Lalu apa itu fungsi invers.
15122017 Berikut ini adalah kumpulan beberapa soal mengenai komposisi dan invers fungsi tingkat SMASederajat disertai pembahasannya. 02102020 Berikut ini adalah kumpulan beberapa soal mengenai komposisi dan invers fungsi tingkat smasederajat disertai pembahasannya. Soal SBMPTN MatDas 2014 Kode 654.
Soal Dan Pembahasan Matematika Fungsi Komposisi Dan Fungsi. Pastikan untuk selalu latihan soal agar lebih menguasai ya. Padahal sebenarnya sangat sederhana.
Tipe soal yang keluar yaitu bentuk fungsi fungsi invers fungsi komposisi bisa juga gabungannya. Berikut Kumpulan Soal Fungsi Invers dan Komposisi Seleksi Masuk PTN dan lengkap dengan pembahasannya. 15122019 5 10 Turunan Fungsi Hiperbolik Ppt Download.
17082020 Contoh Soal dari Fungsi Invers. Dewi Fitri Matematika Fungsi Trigonometri Invers Kalkulus. Diketahui f x x 4 dan g x 2x maka.
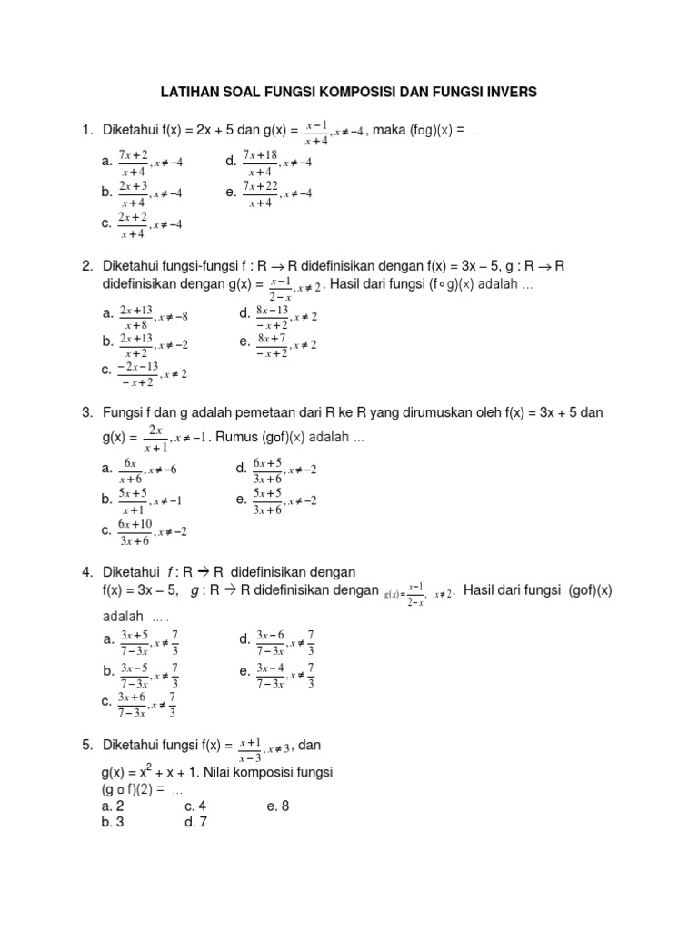
Diketahui fx 2x 5 dan gx x 1 x 4 maka f gx x 4 7x 2 7 x 18 x 4 x 4 x 4 x 4 a. Menentukan fungsi komposisi. 17112020 Contoh soal dan pembahasan tentang invers fungsi komposisi.
Mulai pahami konsep dasarnya dan hafalkan rumus fungsi invers. 03122014 Kumpulan Soal Fungsi Komposisi dan Invers Beberapa model soal yang umum tentang fungsi komposisi dan invers anatara lain. Begitulah cara menentukan invers fungsi secara manual meskipun sebenarnya banyak rumus rumus khusus yang tujuannya untuk mempermudah pengerjaan.
Download PDF 222 KB. Menggambar Grafik Fungsi Invers Untuk bisa menggambar grafik f x dan fx perhatikanlah gambar berikut ini. Berikut contoh soal dan jawabannya.
Soal juga dapat diunduh dengan mengklik tautan berikut. Rumus Trigonometri Invers Beserta Contoh Soal Dan Jawaban. Contoh Soal Fungsi Hiperbolik Kumpulan Soal Pelajaran 3.
Cara menentukan fungsi invers sebagai. Fx 3x 9 3x fx 9. Selain penjelasan mengenai pengertian fungsi invers dan cara mencari fungsi invers di atas.
Diketahui fx x 3. Pertemuan 1 Fungsi Invers Eksponensial Logaritma Dan. Contoh Soal Fungsi Hiperbolik Kumpulan Soal Pelajaran 3.
Jika f x 2x 6 maka f-1 x A. Contoh Soal Fungsi Komposisi dan Invers Pilihan Ganda Pembahasan Berikut ini Bank contoh soal Fungsi Komposisi dan Invers lengkap dengan Jawaban beserta Penyelesaiannya untuk Siswa dari berbagai penerbit buku yang berjumlah 20 butir. Jika suatu fungsi f A B dinyatakan dengan pasangan terurut f ab a A dan b B maka fungsi invers f adalah f-1 B A ditentukan oleh f-1 b a b B dan a A.
Maka hasilnya akan menjadi seperti di bawah ini. Latihan soal fungsi komposisi dan fungsi invers 1. Setiap fungsi dalam hal ini.
Menentukan Invers suatu fungsi atau invers fungsi komposisi. 14112019 Fungsi Invers Belajar Matematika Bersama Bu Fetty. 23052021 Contoh soal cerita fungsi komposisi dan jawaban.
Hal pertama yang perlu dilakukan yaitu menentukan persamaan x terlebih dahulu.
Intip Solusi Super Menyelesaikan Soal Fungsi Komposisi Buat Kelas 10
Fungsi Komposisi Dan Fungsi Invers Lengkap Dengan Contoh Soal Dan Pembahasan
Intip Solusi Super Menyelesaikan Soal Fungsi Komposisi Buat Kelas 10
Contoh Soal Fungsi Invers Pecahan Dan Pembahasannya Kumpulan Soal Pelajaran 2
Intip Solusi Super Menyelesaikan Soal Fungsi Komposisi Buat Kelas 10
Pdf Latihan Soal Fungsi Komposisi Dan Fungsi Invers Lelly Mawarni Academia Edu
13 Soal Soal Fungsi Komposisi Dan Fungsi Invers
Contoh Soal Fungsi Invers Kumpulan Soal Pelajaran 6
Latihan Soal Fungsi Komposisi Dan Fungsi Invers
Contoh Soal Fungsi Invers Kumpulan Soal Pelajaran 2
Contoh Soal Fungsi Invers Kumpulan Soal Pelajaran 2
Intip Solusi Super Menyelesaikan Soal Fungsi Komposisi Buat Kelas 10
Contoh Soal Fungsi Invers Pecahan Dan Pembahasannya Kumpulan Soal Pelajaran 2
Contoh Soal Uan Fungsi Komposisi Invers
Contoh Soal Fungsi Invers 1 Youtube
Contoh Soal Fungsi Sma Matematika Ipa Idschool
Contoh Soal Uan Fungsi Komposisi Invers
Soal Matematika Fungsi Komposisi
